Sustainable plant harvest in fragmented landscapes
AIM - August 2025
The members of the AIM SQuaRE “Sustainable plant harvest in fragmented landscapes” — Folashade Agusto, Benito Chen-Charpentier, Owusu Domfeh, Natali Hritonenko, Maria Leite, and Frank Owusu — set out to create mathematical models of the complex interactions between plant pathogens, harvest, and forest fragmentation. One of their goals was to investigate the optimal control strategies necessary to curtail plant diseases and maximize plant viability and survival at the same time. The second paper from their SQuaRE, “Cacao sustainability: The case of cacao swollen-shoot virus co-infection,” was published in PLoS ONE in March 2024 and has been receiving a lot of attention in the press. It’s no wonder, since these researchers are addressing a major threat to the world’s supply of chocolate.
Ghana is the second-largest exporter of chocolate in the world. However, cacao trees are not native to Ghana. Native to America from Mexico to Brazil, cacao was introduced to Africa by the Portuguese. Legend has it the beans were brought to Ghana from Equatorial Guinea in the pocket of a blacksmith in 1895. Swollen shoot virus, on the other hand, is endemic to Ghana. First identified in 1936, the virus is transmitted primarily by mealybugs. It decreases cacao yield dramatically and kills the tree within a few years. Despite ambitious and costly eradication efforts, it has not been effectively contained.
Between 1936 and the 1960s, the disease nearly ended the cacao industry in Ghana. Mitigation efforts — including removing infected trees or leaving space between newly planted trees and previous crops of infected trees — have helped to revitalize the industry. However, these methods are costly, and many farmers who are managing on slim profit margins feel that cutting down trees that are producing any cacao at all or leaving swaths of land unplanted are simply wastes of money. The farmers’ resistance, while understandable, makes the containment efforts less effective overall and contributes to the continued spread of the disease.
Recent recommendations of the Cocoa Research Institute of Ghana (CRIG) include using mild-strain cross protection strategies: systematically planting trees that have been inoculated with a mild strain of the virus in order to protect the whole plot. In their work, the members of the SQuaRE create ordinary differential equation (ODE)-based models to describe the dynamics of the disease and spread of the virus with various interventions. Two of the SQuaRE members are scientists at CRIG, joining the SQuaRE meetings remotely and co-authoring the article. This close collaboration with CRIG gives the researchers crucial access to detailed empirical data. It also means that their findings can be used to implement recommendations to help farmers in the region make the best decisions for their land.
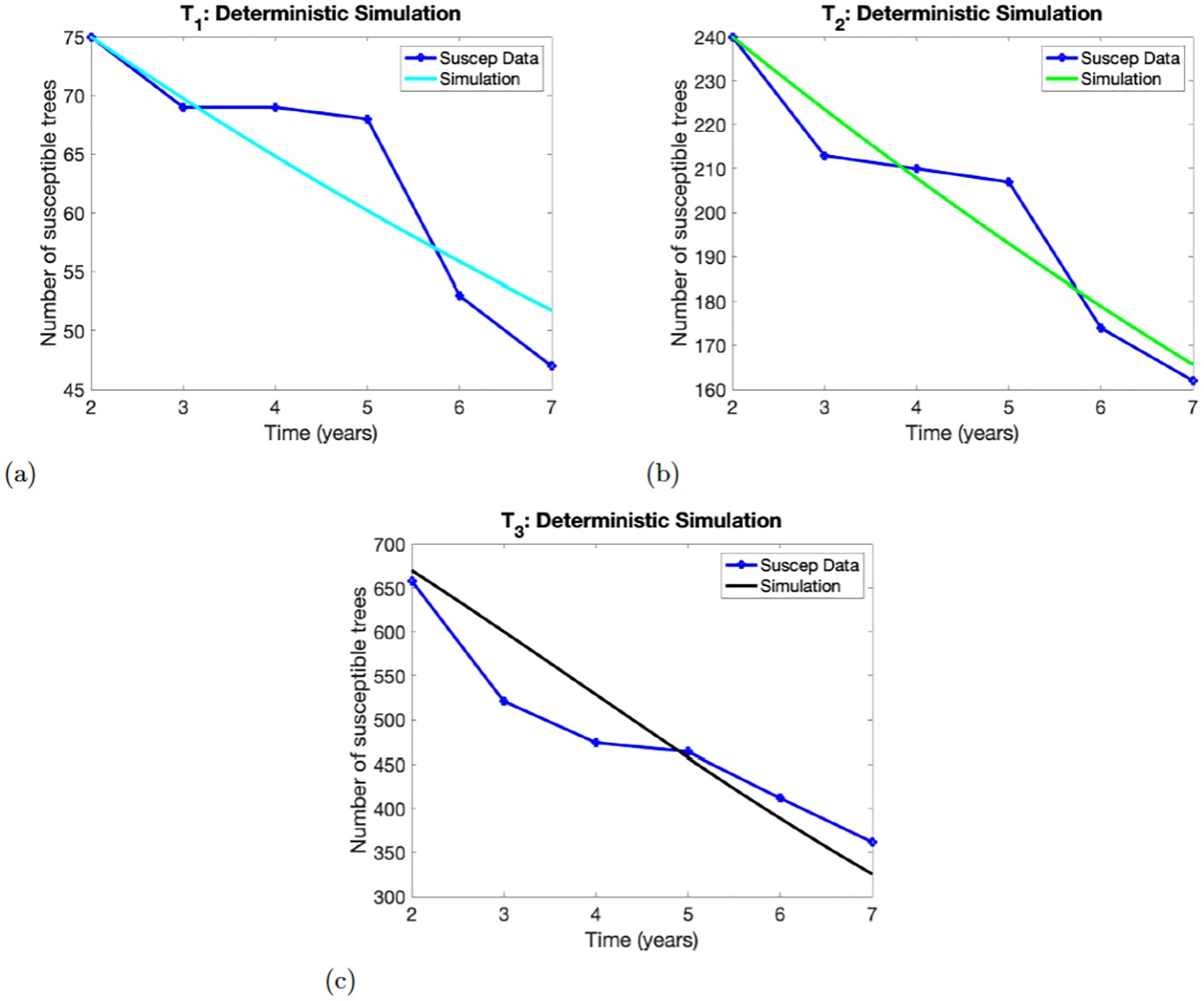
The SQuaRE’s research uses two deterministic models (with and without delay) and two stochastic models to capture the infection transmission dynamics of the virus in cacao trees using data from three types of treatment over a period of seven years. The differences between the treatment types ( \( T_1\), \( T_2\), and \( T_3\)) lie in the number and placement of inoculated trees. For example, their deterministic model is given by an ODE relating susceptible trees \( X \), the average number of mealybugs per severely infected tree \( J \), a parameter \( p \) representing the transmission probability, and the number of severely infected trees in a given plot \( Z \):
\[ \frac{dX}{dt} = -pJZ(t)X(t). \]
Their stochastic model with delay \( \tau \)and additive environmental white noise \( dW \) is given by:
\[ dX(t)= - pJZ(t-\tau)X(t-\tau)dt+ \sigma dW. \]
(Here \( \sigma \)indicates the intensity of the noise.) Figures 1-3 show the fit of some of their models with the CRIG-provided data.
Ultimately, the collaborators find that simple deterministic models can capture the dynamics of the disease nearly as well as more elaborate SIR-type models (Susceptible-Infectious-Recovered), and that the models combining delay and stochasticity, which take into account variability and errors in the treatments, are even more realistic. They also outline several areas for future work.


